Beranda
Profil
Sambutan Rektor
Sejarah Ringkas Universitas
Visi Misi
Struktur Organisasi
Lambang
Hymne & Mars
Statuta dan Ortaker
Renstra UIN Suska Riau
Laporan Kinerja
RIP
Pedoman Pengelolaan
Berita
Berita Utama
Pengumuman
Info Beasiswa
Kolom Rektor
Kolom Guru Besar
Kolom Dosen
Berita Lainnya
Fakultas, Lembaga & Unit
Sub-Bagian
Akademik
Unit Pelaksana Teknis
PTIPD
Perpustakaan
Pusat Pengembangan Bisnis
Mahad
Pusat Pengembangan Bahasa
Fakultas
Pascasarjana
Tarbiyah dan Keguruan
Syariah & Hukum
Sains & Teknologi
Dakwah & Komunikasi
Pertanian & Peternakan
Ekonomi & Sosial
Psikologi
Ushuludin
Lembaga
Senat Universitas
LPPM
LPM
Institute for Southeast Asian Islamic Studies UIN Suska Riau
Institut Keberlanjutan Satya
Fasilitas
Sistem Informasi
e-Jurnal
iRaise Akademik
PMB (CAT Mandiri)
SIREG (Registrasi Mahasiswa)
KKN
Kepegawaian
Penelitian & Pengabdian
Mahasiswa
Sistem Studi Mahasiswa
Sistem Satuan Kredit Semester (SKS)
Sistem Evaluasi, Ujian, Penilaian Dan Pengulangan Mata Kuliah
Jenis, Jenjang, Dan Masa Studi
Kurikulum Dan Kompetensi
Bentuk Dan Arti Kode Matakuliah
Perhitungan Indeks Prestasi
Predikat Kelulusan
Yudisium
Wisuda
Ijazah, Sertifikat Dan Transkrip Nilai
Gelar Akademik
Kegiatan Studi Mahasiswa
Tatap Muka
Kegiatan Mandiri
Kegiatan Terstruktur
PMB
SNBP dan SNBT
SPAN-PTKIN
UM-PTKIN
Undangan Mandiri
Tulis Mandiri
SMMPTN Barat
Unduhan
Beranda
Profil
Sambutan Rektor
Sejarah Ringkas Universitas
Visi Misi
Struktur Organisasi
Lambang
Hymne & Mars
Statuta dan Ortaker
Renstra UIN Suska Riau
Laporan Kinerja
RIP
Pedoman Pengelolaan
Berita
Berita Utama
Pengumuman
Info Beasiswa
Kolom Rektor
Kolom Guru Besar
Kolom Dosen
Berita Lainnya
Fakultas, Lembaga & Unit
Sub-Bagian
Akademik
Unit Pelaksana Teknis
PTIPD
Perpustakaan
Pusat Pengembangan Bisnis
Mahad
Pusat Pengembangan Bahasa
Fakultas
Pascasarjana
Tarbiyah dan Keguruan
Syariah & Hukum
Sains & Teknologi
Dakwah & Komunikasi
Pertanian & Peternakan
Ekonomi & Sosial
Psikologi
Ushuludin
Lembaga
Senat Universitas
LPPM
LPM
Institute for Southeast Asian Islamic Studies UIN Suska Riau
Institut Keberlanjutan Satya
Fasilitas
Sistem Informasi
e-Jurnal
iRaise Akademik
PMB (CAT Mandiri)
SIREG (Registrasi Mahasiswa)
KKN
Kepegawaian
Penelitian & Pengabdian
Mahasiswa
Sistem Studi Mahasiswa
Sistem Satuan Kredit Semester (SKS)
Sistem Evaluasi, Ujian, Penilaian Dan Pengulangan Mata Kuliah
Jenis, Jenjang, Dan Masa Studi
Kurikulum Dan Kompetensi
Bentuk Dan Arti Kode Matakuliah
Perhitungan Indeks Prestasi
Predikat Kelulusan
Yudisium
Wisuda
Ijazah, Sertifikat Dan Transkrip Nilai
Gelar Akademik
Kegiatan Studi Mahasiswa
Tatap Muka
Kegiatan Mandiri
Kegiatan Terstruktur
PMB
SNBP dan SNBT
SPAN-PTKIN
UM-PTKIN
Undangan Mandiri
Tulis Mandiri
SMMPTN Barat
Unduhan
13
Aug
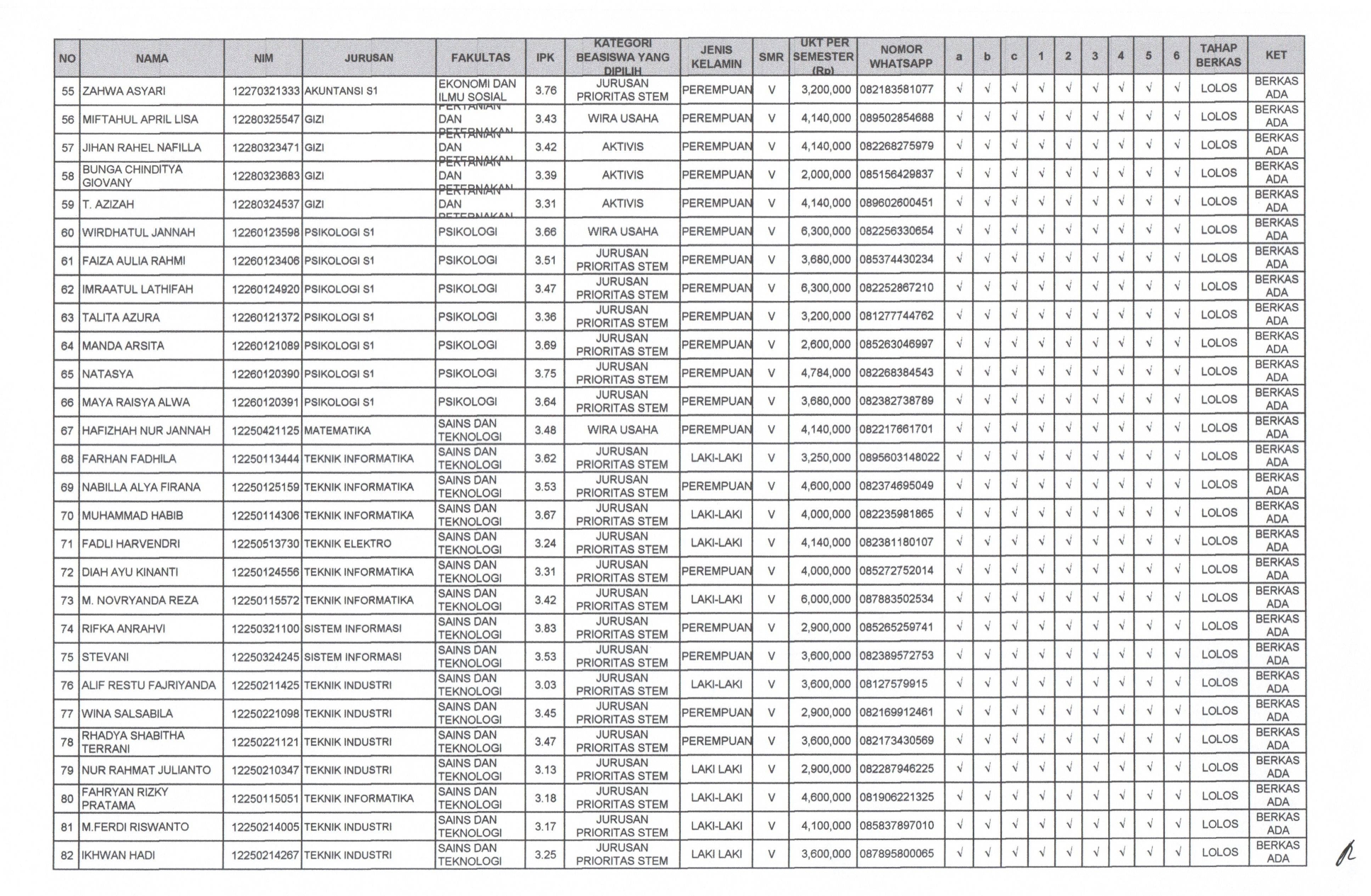
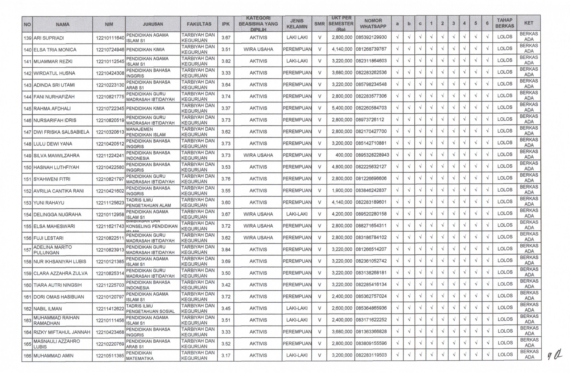
Daftar Nama yang Lulus Tahap Seleksi Adminstrasi Beasiswa Cendikia Baznaz Perguruan Tinggi Dalam Negeri Mahasiswa Universitas Islam Negeri Sultan Syarif Kasim Riau Tahun 2024
By
Humas
Info Beasiswa
0
Post Views:
42,372
Selengkapnya silahkan download disini :
PENGUMUMAN LULUS BERKAS BEASISWA BAZNAS 2024
0
Shares
Prev
Next