web analytics

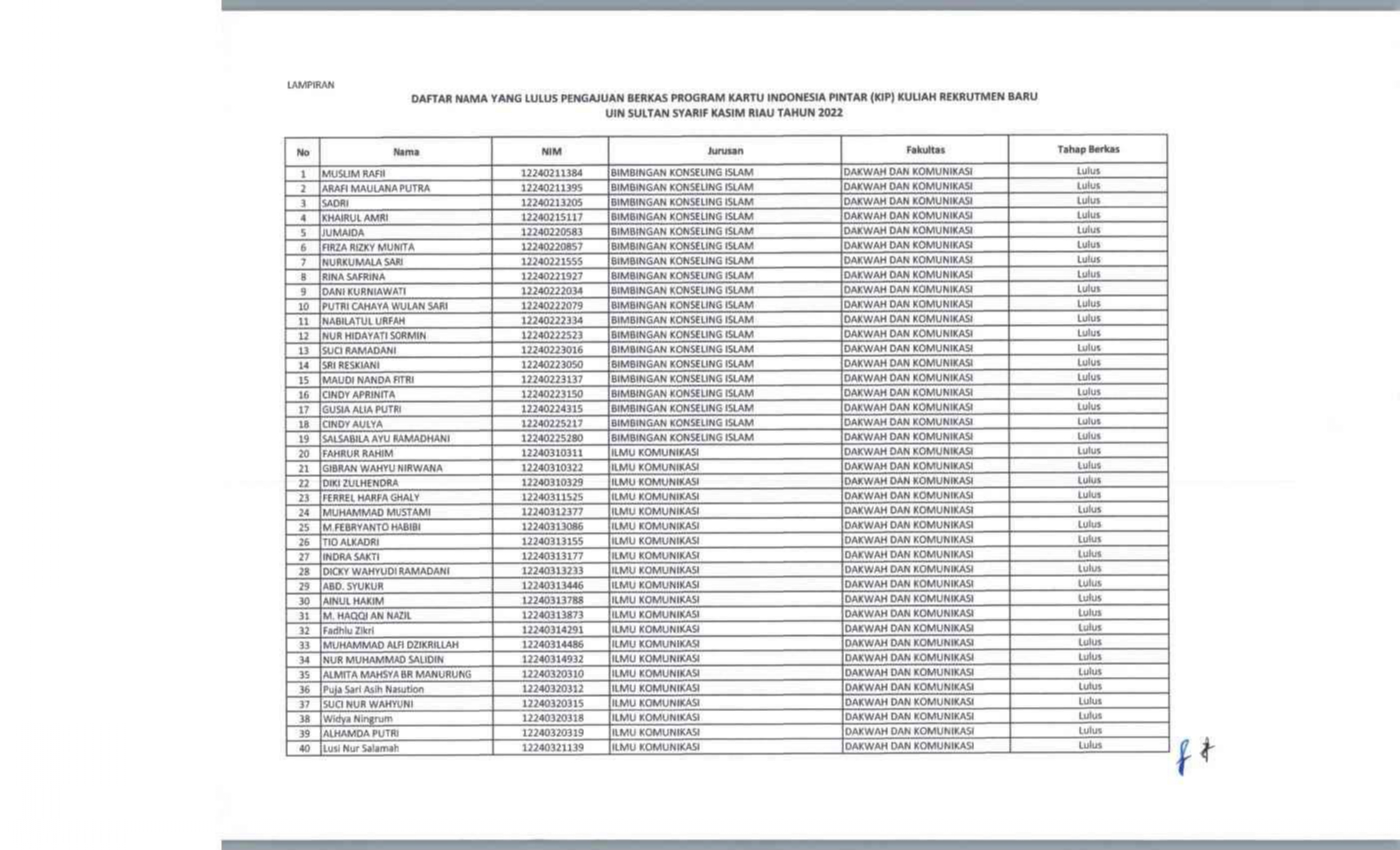
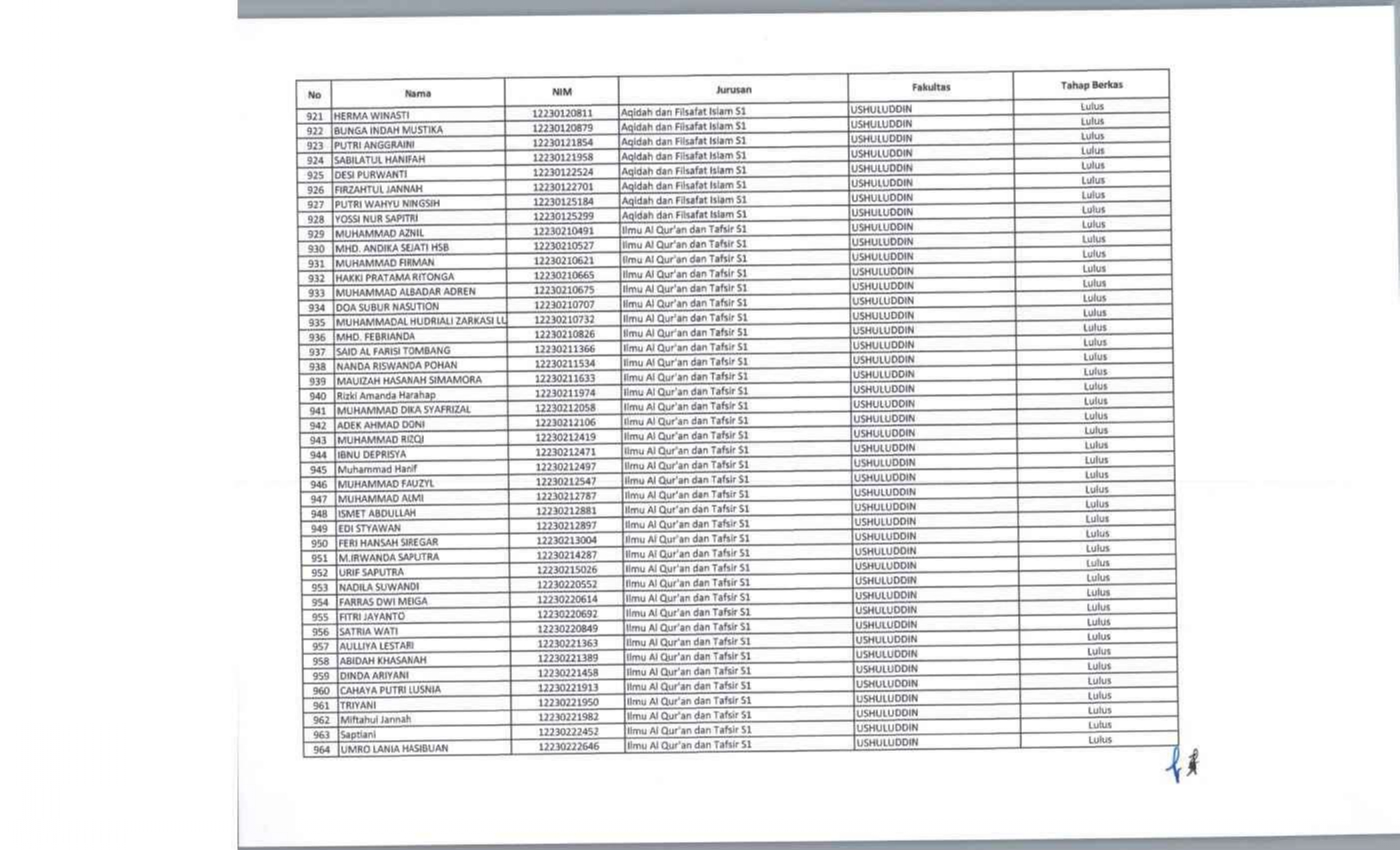
Penyampaian Daftar Nama yang Lulus Pengajuan Berkas Program KIP Kuliah Rekrumen Baru UIN Suska Riau Tahun 2022