web analytics

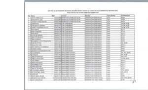
Penyampaian Daftar Nama yang Lulus Pengajuan Berkas Beasiswa BIDIKMISI Bhakti Negeri Angkatan 2022 Pemerintah Provinsi Riau pada UIN Sultan Syarif Kasim Riau Tahun 2022